The West Bengal Central School Service Commission
![]() |
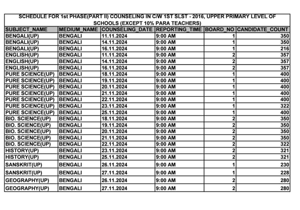
WBSSC Counselling Notice: NOTIFICATION PUBLICATION OF SCHEDULE AND OTHER DETAILS IN RESPECT OF COUNSELING OF CANDIDATES IN CONNECTION WITH 1ST STATE LEVEL SELECTION TEST-2016 (EXCEPT HILL REGION FOR RECRUITMENT OF ASSISTANT TEACHERS FOR UPPER PRIMARY LEVEL OF CLASSES IN STATE GOVT. AIDED/SPONSORED SCHOOLS (EXCEPT WORK EDUCATION & PHYSICAL EDUCATION) (EXCLUDING 10%PARA-TEACHERS) Memo. No. 974/6723 (IV)/CSSC/ESTT/2024 Dated: 23.10.2024.
In compliance with the order of Hon'ble Division Bench, High Court, Calcutta dated 28.08.2024 in MAT 638 of 2021 and other connected matters, the schedule for counseling is hereby issued in terms of the panel already published by the West Bengal School Service Commission vide its memo no 897/6723(IV)/CSSC/ESTT/2024 Dated: 26.09.2024 [in c/w 1st।SLST, 2016 for recruitment of Assistant Teachers (Upper Primary) in State Govt. aided/sponsored Schools (Except Hill Region) (except 10% seats reserved for para-teachers)].
Intimation letter for Counseling can be downloaded by the concerned candidates from the website of the Commission i.e. www.westbengalssc.com as per instruction to be published by the Commission।on 24.10.2024.
The relevant vacancy details have already been uploaded on the Commission website. Corrections, if any, in vacancies, will be uploaded in due course.

